2026年湖北省定向选调生







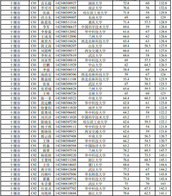
1.2026年湖北省定向选调生招录笔试合格分数线为105分。根据招录公告精神,在笔试合格分数线上,共确定资格复审人员2096名(名单见附件)。
2.请资格复审人员于2025年12月15日14:00至12月19日17:00,按照招录公告要求在报名系统上传资格复审材料;如放弃面试资格,须于2025年12月17日前向招录单位提交书面放弃说明。资料不全、不合规范或逾期未报送材料的,视为自动放弃选调资格。
资格复审中,如有资格复审不合格或主动放弃的,将根据笔试成绩依次递补。合格分数线以下的考生不作为递补对象。
3.面试将于2025年12月28日举行,请考生及时关注湖北省人事考试网相关公告。
